国产传媒在线,美女跪床被网站,看黄免费网站,欧美壮男野外gaytube,亚洲精品小说

歡迎來到 新鄉市雙誠環保設備垃圾焚燒爐生產廠家
24小時全國熱線
16637325775
首頁 >> 新聞資訊 >> 技術文章 >> 化工廢氣RTO凈化系統爆炸原因分析
聯系我們
河南雙誠環境科技有限公司 負責人:銷售經理 聯系電話:16637325775 郵箱: 地址:河南省新鄉市新鄉經濟技術開發區廣源路和榆東街交叉口 往南210米路西

化工廢氣RTO凈化系統爆炸原因分析

時間:2022-05-14 作者: 閱讀:5519

化工企業廢氣成分復雜,通常由多組分氣體混合而成,易燃、易爆、有毒、有臭味,它容易污染環境,嚴重時會引起群體事件。目前,化工企業最常見的有機廢氣處理設施是蓄熱式焚燒爐。與傳統的催化燃燒爐和直接熱氧化爐相比,其熱效率較高(95%),操作成本較低,可處理大風量,低濃度的有機廢氣。其原理是有機廢氣首先經過蓄熱室預熱至750℃左右,然后進入氧化室,有機物分解放熱或加熱升溫到800℃左右,使廢氣中的VOCs氧化分解成CO2H2O;氧化后的高熱氣體再通過另一個蓄熱室熱處理,然后煙氣排出RTO系統。這個過程不斷循環再生,每一個蓄熱室都是在輸入廢氣與排出處理過的氣體的模式間交替轉換。切換時間根據實際情況可以調整。

 圖片6.png

一、慨況

隨著環境保護和VOCs治理壓力加大,VOCs治理要求越來越高。收集和集中處理廢氣已成為許多化企業的一種選擇。作為終端控制技術,蓄熱式焚燒爐廣泛應用于石油化工、精細化工、汽車油漆等行業。由于蓄熱式焚燒爐適合處理大風量、低濃度的有機廢氣,企業通常將廠區所有有機廢氣收集起來一起處理。然而,收集到的廢氣種類繁多,復雜多樣,來源眾多。且部分蓄熱式焚燒爐設計單位缺乏安全設計方面的經驗,導致RTO投入使用后出現一些生產安全事故。正確和安全地選擇和使用RTO已成為有機廢氣治理過程中的一個新問題。根據多年處理化工VOC廢氣的經驗,分析了某化工企業RTO爆炸的原因。提出了RTO收集處理系統的管理要點。根據基本安全與日常相結合管理原則,提出了針對RTO制造商和使用單位的事故預防對策。

二、事故時車間生產情況

某化工公司的RTO凈化系統發生了兩次爆炸。事故中沒有造成人員傷亡,但是在聚合物多元醇車間,引風機損壞,現場設備著火,一些RTO附屬設備嚴重損壞,直接經濟損失達到100多萬元。按公司說法,該公司的生產方法是間歇生產,事故發生時,僅popPl1/pl2產品的工藝廢氣通過DN50~DN350金屬管道收集(主要污染物為環氧乙烷、環氧丙烷、三甲胺、異丙醇、苯乙烯、丙烯腈等),然后通過引風機收集送RTO焚燒,這是R-RTO(旋轉蓄熱焚爐)收集廢氣和處理的詳細流程,如圖1所示。

 

1廢氣收集、焚燒流程簡圖

三、事故原因分析

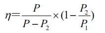
1.事故的直接原因。調查發現,該公司真空泵的出口溫度超過75℃,根據公式(1~(3)所示,計算有機廢氣的冷凝效率。

1

2

3

公式:C1為冷凝前氣體濃度,g/m3C2是凝結氣體的濃度,g/m3M是氣體物質的分子質量;P1T1氣體的飽和蒸汽壓力;P2T2氣體的飽和蒸汽壓力;R為常數,8.314p表示氣壓,101325 Pa;η是冷凝效率。75℃時,爆炸場中有機物的最大飽和濃度見表1

 

1不同溫度下有機物飽和濃度安全性分析

如表1所示,當真空泵出口尾氣溫度為75℃時,每種有機物質的飽和濃度理論上非常高。如果廢氣稀釋率不足,很容易引起安全事故。單套PL真空泵的環氧乙烷泄漏量約為120m3/h,三個真空泵的總流量為360 m3/h。事故發生時焚燒爐的實際處理風量也不超過5000m3/h2.4%的平均濃度在相應的爆炸范圍內。可見廢氣排放真空泵出口溫度過高,有機材料沸點低,導致有機廢氣濃度高。與此同時,相應的稀釋倍數不夠,再加上環氧丙烷和環丙烷,氧乙烷化學性質,最終達到有機成分的相應爆炸極限,造成爆炸事故。

2.事故的間接原因。(1)收集系統設計不合理。調查發現,該公司沒有預先處理真空泵排放的高濃度有機廢氣的冷凝回收設備,在PL系統設計中,對真空泵出口廢氣的收集方法進行了深入的研究,是不合理的。安裝在真空泵出口DN50收集管應增加冷凝回收設備。(2)預處理措施不到位。POPPL1PL2有機廢氣活性碳吸附車間不具備吸附再生系統,該系統基本上無效。最終安裝的不銹鋼高壓風機沒有變頻系統,導致負壓高能耗高的廢氣收集系統,不利于有機材料的冷凝和回收利用。所使用的金屬洗滌塔具有很強的強度,無法有效的在系統發生爆炸等事故時抵御爆炸的影響,爆炸導致沖擊波沿管道再次傳至生產車間,從而增加了爆炸風險。

四、事故預防對策

1.優化采集系統。吸風罩和風機的選型應以標準化方式進行。同時,廢氣裝置作為一個整體進行規劃,從而確保收集廢氣效率。防火收集和預處理系統設計時,不要只注重高強度有助于系統的安全性,同時還應在RTO爐設備本體和節點處廢氣收集管道處安裝防爆膜片。

2.加強預防行動。由于廢氣排放的變化太大,需要混勻、緩沖和預處理各種有機廢氣。建議使用PP填料塔預處理有機廢氣。PP填料塔填充塔強度低,在事故中容易泄壓,從而最大限度地提高了系統的安全性。

3.安裝在線監測系統并配置電氣控制操作室。凈化系統(RTO)雖然自動化程度很高,但必須由專業人員執行維護和管理任務。例如,有機物質的濃度往往在RTO爐爆炸前迅速增加。如果有人值守的系統可以觸發警報并采取必要的措施來防止事故的發生。

綜上所述,在對生產過程進行詳細研究的基礎上,正確認識生產過程中有機廢氣的排放特性,確保RTO引入的有機物濃度低于爆炸下限的25%,對RTO的安全有效使用具有十分重要的意義。化工企業有機廢氣的處理關鍵。


相關文章 更多>
客戶案例 更多>
聯系我們
手機:16637325775 固話:0373-3808540 聯系人:銷售經理 郵箱: QQ號: 官網:www.shengquancolors.com.cn
微信二維碼
公眾號二維碼
電話直呼

聯系電話

16637325775

QQ溝通

QQ客服:QQ交談

微信咨詢

掃碼
咨詢

返回頂部